A high income is the best recipe for happiness#
Having a high income is very, very important if you want to be happy. Consider 5 people, earning different wages each:
- 50k/yr
- 100k/yr
- 200k/yr
- 500k/yr
- 1M/yr
Say they are all cheap and are living on 40K/yr, the bare minimum for surviving.
Instinctively, the rich people get richer over time. But because the 40k/yr is such a high percentage of the 50k/yr earner’s income, they can almost never save. So even if you doubled your income from 50k/yr to 100k/yr you’ll see more than double your net worth over time.
Not to mention the compounding effects of investing the saved money.
I made a graph for you so you can see.
The graph here assumes the following:
- 40k/yr spending
- Leftovers is invested and makes 4% a year
- Income is taxed based on 2025 tax brackets per year
- No inflation (assume you get raises on par with inflation). So everything in today’s money.

The 100K worker earns 2X the 50K earner, but has 7.8X the money over 20 years.
The 200K worker earns 4X the 50K earner, but has 20.8X the money over 20 years.
The 500K worker earns 10X the 50K earner, but has 54.36X the money over 20 years.
High earners should be less motivated if they’re not stupid#
Because of the above graph, high earners are very motivated in school, so they can land a high-earning job.
But if you’re a high earner and you’re still motivated after many years of working, you are a “dumbhead.”
The more you save/earn/invest, the faster it is for you to replace your income with your net worth.
And if your portfolio already earns passively what you earn working your ass off, what incentive is there to keep working?
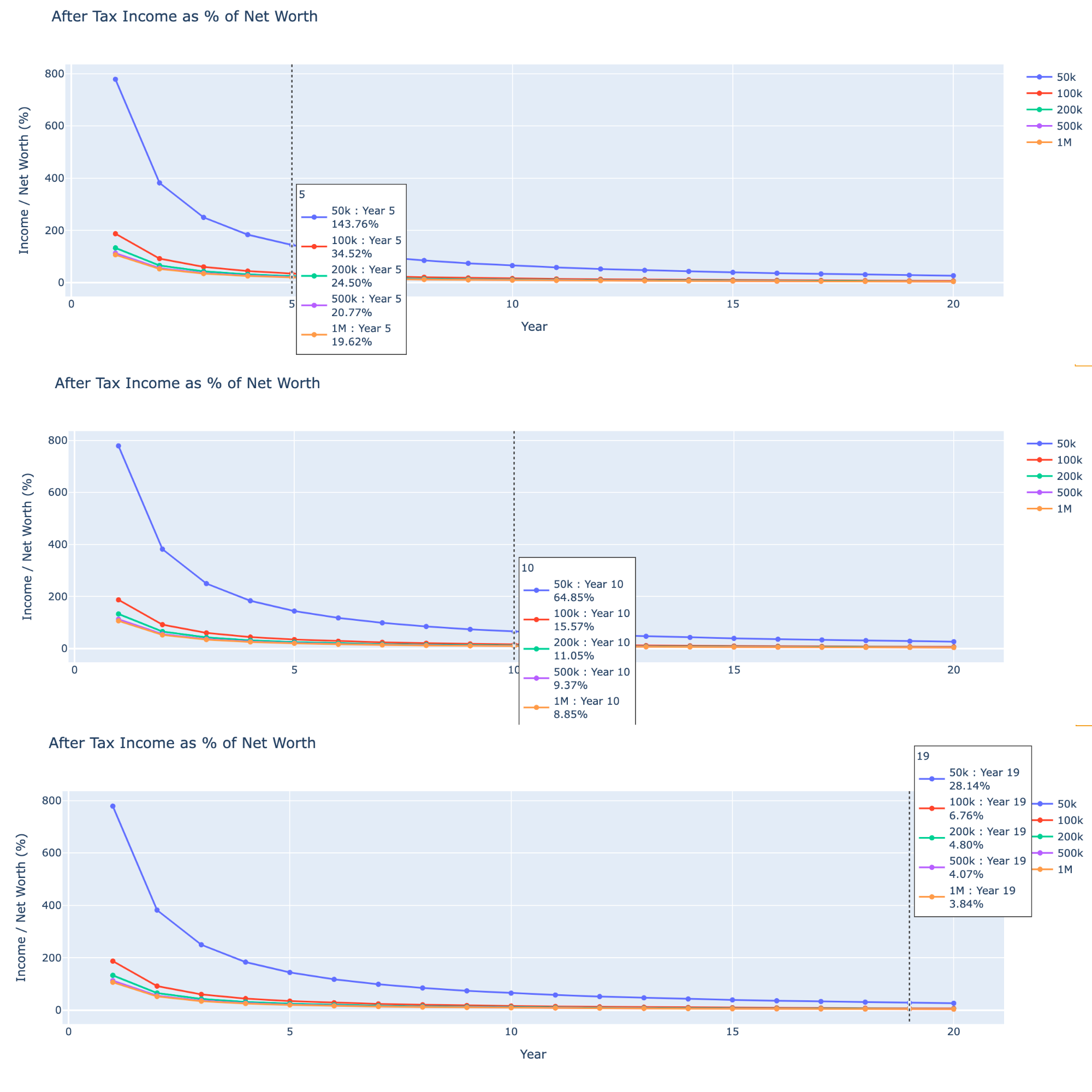
The freedom curve#
Consider a plot wher you look at your after tax income as a percent of your total net worth.

The longer you work, the less your income contributes to your net worth.
That much is obvious.
What is not so obvious is the scale.
5 years of working#
After 5 years of working, a 200K earner is already only contributing 24.5% of their net worth by continuing to work. And the 1M earner is 19.62%. So as you can see after a certain point of high income, you get marginal returns in this visualization.
But it’s still worth working because this is still 6X+ of what your passive portfolio would spit out at this point.
But the 50K/yr earner is almost paycheck-to-paycheck, so their yearly earnings is still more than their net worth even after doing 5 years.
10 years of working#
At 10 years, a 200K earner should have amassed 1.5M or so. And that year, their earnings contribute only 11% of their earnings. Or only 3X of their passive income.
Since this is after tax, you can theoretically retire now if you are good with living with 1/3rd of your after-tax income as a 200K/yr earner.
You can see how as time goes on, a worker becomes less and less motivated.
Except for the 50K/yr worker which is still making 64% of their net worth.
19 years of working#
A 200K earner after 19 years would only roughly double their net worth (3.6M instead of 1.5M in 10 years). And a good amount of that is simply from investing growth.
The 500K earner goes from 3.8M -> 9.5M.
And even the 100K earner is at a point where their income is only doing 6.76% of their income.
At year 19 is when the 1M/yr worker breaks the 4% rule and can very safely retire.
But if you’re only earning 200K or 500K, don’t despair.
500K breaks the 4% rule in year 20, and the 200K is really close enough at year 20 (4.46%).
But if you earn 50K/yr, you are fucked. Even at 19 years, you are still putting in 28.14% into your net worth per year. Which means that you’re doing less for your net worth at year 19 (and spoiler alert, year 20 also), than someone making 200K is doing in year 5. Or someone doing 100K is doing in year 7.
In other words, low-income earning is slavery. Plain and simple.
If you are in a low-income situation you must do anything you can in your power necessary to get more income. Take another job, anything. You can literally give yourself back 12+ years of time.
Ageism#
So as each year goes by, the high income earner ought to be more and more de-motivated.
So when my manager tells me to be more motivated, I just think “but why?”
Companies know this so the paradox becomes:
- The more they pay you, the more they want to replace you.
- The less they pay you on-hire, the longer it takes to make you useful.
- They need to pay you more eventually, otherwise you’ll leave.
- Once you finally become useful and have high income, they’ll want to replace you.
So if you’re a high income worker, know that you have an invisible runway that shrinks as you make more income. There is only upside for the company to fire you in most cases.
If you’re a new-hire in a lower income bracket, just know that you will get more money (as you should want) as time goes on, while your runway shrinks.
In effect, every job with income upside has ageism built in.
Your past accomplishments don’t matter. You made the company 200M? So what? They care about this quarter’s profits. And what you did last week, not what you did a year ago. Anyone who thinks either of these 2 things are categorically mentally ill:
- They are permanently irreplaceable
- Job friends are real friends
- Your job is anything but a transaction
What you should do#
If you’re low income, get high income. Upskill to get hired, or do multiple jobs if possible.
If you’re high income, you’re capped anyway in most cases. You have 3 things to do:
- Ride the gravy train as long as possible.
- Do it with as little effort as possible so you can learn new skills and diversify your income outside of work.
- Once you can earn income outside of work and own your own high income stream (assuming you don’t fire yourself), then you have extended your runway.
Thing 1 is just being a Hollywood actor. Layoffs are arbitrary despite narratives. They lay off people they don’t like. So just pretend to be likeable.
Thing 2 is important as getting income outside of work is extraordinarily difficult. You need as much time to focus on that as possible. Which necessitates being as lazy as you can without being fired (refer to Thing 1).
Once you have Thing 3 you can tell everyone you know at work to eat shit and die. OK maybe not that far.